Opioids

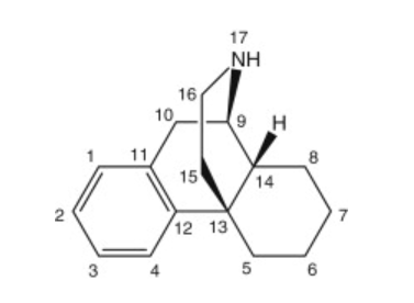
Basic structure

Name: Morphinane

Morphine

Name(I.U.P.A.C.): (5R,6S)-7,8-didehydro-4,5-epoxy-N-methylmorphinan-3,6-diol

Codeine

Name(I.U.P.A.C.): (5R,6S)-7,8-didehydro-4,5-epoxy-3-methoxy-N-methylmorphinan-6-ol

Heroine

Name(I.U.P.A.C.): diacetate de (5R,6S)-7,8-didehydro- 4,5-epoxy-N-methylmorphinan-3,6-diyle

These substances mainly have strong analgesic and psychic effects.