A more rigorous theory of $pH$

Mathematical treatment

Exercise 6

    

Solve the systems obtained in →   the previous exercise !

a) Equation of the second degree, variable: $[H_3O^+]$

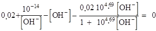
b) Equation of the second degree, variable: $[OH^-]$)

c) Find an equation of the 3rd degree with variable $[OH^-]$, then use →   this. Furthermore calculate the $pH$.

d) Find an equation of the 3rd degree with variable $[OH^-]$, then use →   this. Furthermore calculate the $pH$.