Réaction des alcools avec le sodium

Exercice 3

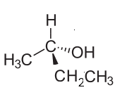
On fait réagir un monoalcool $A$ à chaîne aliphatique saturée avec un excès de sodium. On obtient un sel qui renferme $23,96\;\%$ de sodium 1) Dresser l'équation de cette réaction en utilisant les formules générales. 2) Déterminer la formule brute de l'alcool $A$ . 3) Sachant que $A$ est optiquement actif, représenter la formule de stucture de son énantiomère S ?

1) Équation: $C_nH_{2n+2}O$ $+$ $Na$ $\rightarrow$ $ C_nH_{2n+1}ONa$ $+$ $\frac{1}{2}H_2$ 2) Pourcentage de $Na$: $\frac{23\cdot 100}{12n+2n+1+16+23}$ $=$ $23,96$ $n\;=\;4$ Formule brute de A: $C_4H_{10}O$ 2) (S)-butan-2-ol